ВНИМАНИЕ!
Здесь опубликовано 2 прайса:
- на монтаж елок в Санкт-Петербурге и ЛО
- на монтаж елок в Москве и МО
!! Стоимость установки и оформления уличных елок в ЛЮБОМ другом городе РФ - уточняйте у менеджера по телефону (в зависимости от удаленности объекта)
Стоимость Монтажа больших уличных елок включает в себя:
- аренду автовышки (при необходимости)
- работу монтажников по сборке ёлки
*В стоимость монтажа НЕ входит Пригруз (бетонные блоки в основании елки)
Стоимость Оформления елки включает в себя:
- работы по украшению елки игрушками и гирляндами, НЕ включая стоимость самих игрушек и гирлянд (заказываются отдельно)
В стоимость Демонтажа и Деоформления входят:
- работы по снятию с елки игрушек и гирлянд
- разборка самой елки
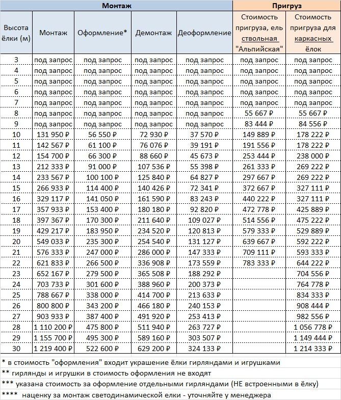
1. Прайс на Монтажные работы в Санкт-Петербурге
ВНИМАНИЕ! если у вас каркасная уличная ель с встраиваемым ПОДИУМОМ, то все работы необходимо считать по общей высоте елки+высота подиума !!
Указаны стоимости работ для елки БЕЗ встроенного светодинамического освещения. (стоимость монтажа уличной ели в встроенным освещением - уточняйте у менеджера)

2. Прайс на Монтажные работы в Москве
ВНИМАНИЕ! если у вас каркасная уличная ель с встраиваемым ПОДИУМОМ, то все работы необходимо считать по общей высоте елки+высота подиума !!
В этом прайсе указаны стоимости работ для елки БЕЗ встроенного светодинамического освещения.

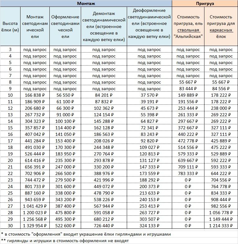
3. Прайс на Монтажные работы в Москве (СВЕТОДИНАМИЧЕСКОЙ уличной ели, со встроенной подсветкой в каждую ветку)
ВНИМАНИЕ! если у вас каркасная уличная ель с встраиваемым ПОДИУМОМ, то все работы необходимо считать по общей высоте елки+высота подиума !!

Примеры раскладки пригрузов
- Раскладка для ствольной елки

- Раскладка для каркасной елки

3. Прайс на Монтажные работы в Москве (СВЕТОДИНАМИЧЕСКОЙ уличной ели, со встроенной гирляндой в каждую ветку)
ВНИМАНИЕ! если у вас каркасная уличная ель с встраиваемым ПОДИУМОМ, то все работы необходимо считать по общей высоте елки+высота подиума !


Оставьте заявку, и наш менеджер с Вами свяжется и ответит на все вопросы. (поможет оформить заказ или подготовит КП)
* Указанная цена носит справочный характер и не является публичной офертой. Наличие и цена товара и услуг уточняется у менеджера.
ВНИМАНИЕ!
Здесь опубликовано 2 прайса:
- на монтаж елок в Санкт-Петербурге и ЛО
- на монтаж елок в Москве и МО
!! Стоимость установки и оформления уличных елок в ЛЮБОМ другом городе РФ - уточняйте у менеджера по телефону (в зависимости от удаленности объекта)
Стоимость Монтажа больших уличных елок включает в себя:
- аренду автовышки (при необходимости)
- работу монтажников по сборке ёлки
*В стоимость монтажа НЕ входит Пригруз (бетонные блоки в основании елки)
Стоимость Оформления елки включает в себя:
- работы по украшению елки игрушками и гирляндами, НЕ включая стоимость самих игрушек и гирлянд (заказываются отдельно)
В стоимость Демонтажа и Деоформления входят:
- работы по снятию с елки игрушек и гирлянд
- разборка самой елки
1. Прайс на Монтажные работы в Санкт-Петербурге
ВНИМАНИЕ! если у вас каркасная уличная ель с встраиваемым ПОДИУМОМ, то все работы необходимо считать по общей высоте елки+высота подиума !!
Указаны стоимости работ для елки БЕЗ встроенного светодинамического освещения. (стоимость монтажа уличной ели в встроенным освещением - уточняйте у менеджера)

2. Прайс на Монтажные работы в Москве
ВНИМАНИЕ! если у вас каркасная уличная ель с встраиваемым ПОДИУМОМ, то все работы необходимо считать по общей высоте елки+высота подиума !!
В этом прайсе указаны стоимости работ для елки БЕЗ встроенного светодинамического освещения.

3. Прайс на Монтажные работы в Москве (СВЕТОДИНАМИЧЕСКОЙ уличной ели, со встроенной подсветкой в каждую ветку)
ВНИМАНИЕ! если у вас каркасная уличная ель с встраиваемым ПОДИУМОМ, то все работы необходимо считать по общей высоте елки+высота подиума !!

Примеры раскладки пригрузов
- Раскладка для ствольной елки

- Раскладка для каркасной елки

3. Прайс на Монтажные работы в Москве (СВЕТОДИНАМИЧЕСКОЙ уличной ели, со встроенной гирляндой в каждую ветку)
ВНИМАНИЕ! если у вас каркасная уличная ель с встраиваемым ПОДИУМОМ, то все работы необходимо считать по общей высоте елки+высота подиума !


