Звоните 9:00-22:00 | Доставка в Любой город! | zakaz@elki-leningrad.ru
Каталог
Компания «Ленинградские Елки»

КОНТАКТЫ 

ДОСТАВКА и ОПЛАТА

Доставка в любой город

+7 (965) 7-899-899

+7 (495) 291-10-89

+7 (812) 372-99-08

пн-вс: 9:00 до 22:00

 

  Напишите нам в мессенджер:

            Max 1.jpg          

 whatsapp    Max    telegram

(0)

Светодинамическая елка каркасная - встроенная гирлянда цветная -"Уральская" 14 м

Добавить в избранное
Нет в наличии
Купить в 1 клик

В нашем магазине вы можете купить искусственную уличную елку 14 м «Уральская светодинамическая» с цветным освещением. С доставкой в любой город России, Беларуси и Казахстана.

 

Упаковочный лист:  Скачать XLS 

     

Инструкция сборки: Скачать PDF  

Описание
Характеристики
Отзывы
Выбрать
    Мы Вам перезвоним в удобное время!

    Оставьте заявку, и наш менеджер с Вами свяжется и ответит на все вопросы. (поможет оформить заказ или подготовит КП)

    * Указанная цена носит справочный характер и не является публичной офертой. Наличие и цена товара и услуг уточняется у менеджера.

    Описание
    Материал веток: пленка пвх 
    Цвет хвои: Зеленый, бело-зеленый
    Крепление веток: вставные
    Материал каркаса: металл
    каркасная, сборная
    Освещение: комплект светодиодных гирлянд встроенных в каждую ветку, шкаф управления, коммутационные шины
    Применение: улица / помещение
    -

    Светодинамическая елка - означает что в каждую ветку вплетена светодиодная гирлянда. Встроенное освещение обеспечивает максимальную незаметность проводов и равномерное свечение на елке, чего не добиться вручную. Светотехника разработана для эксплуатации в условиях Русской Зимы. Динамика освещения уличной световой елки создается специальным микропроцессорным контроллером. Теперь не нужно наряжать елку гирляндами, на производстве сделали это за вас. Светодинамическая елка с наступлением темноты красочно переливается, создавая праздничную атмосферу и выглядит красиво, словно из сказки.

     

    -
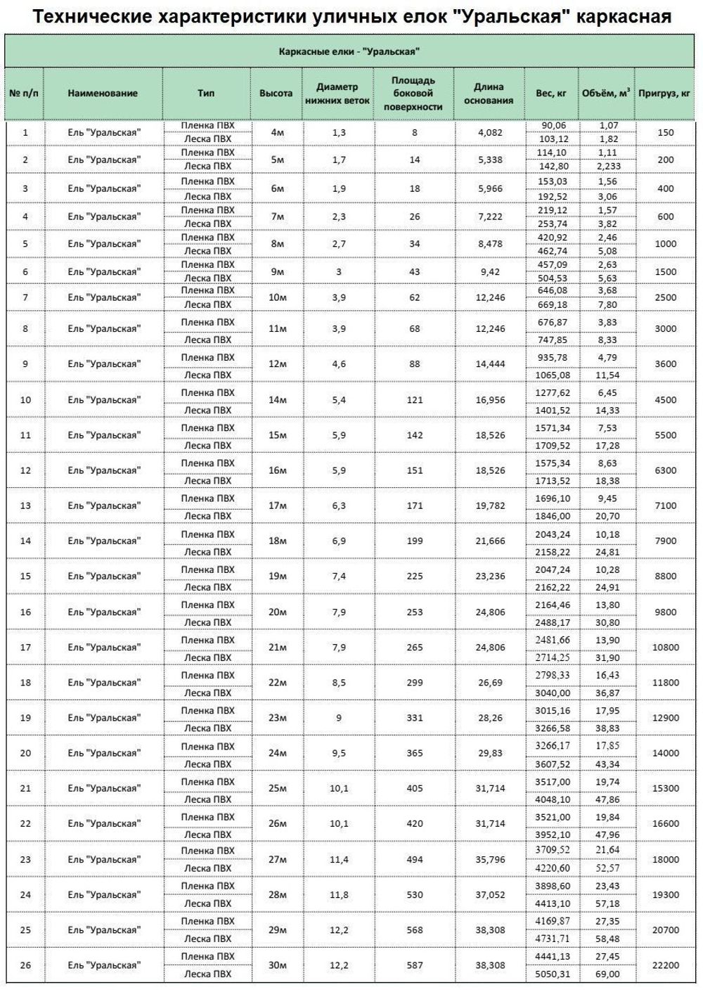
    Каркасная уличная ель -  Конструкция состоит из сборного металлического каркаса конусной формы. Ветки крепятся к горизонтальным кольцам по ярусам. Каркасные елки наиболее устойчивы к порывам ветра и непогоде.
    -
    -

    Схема расположения и подключения гирлянд

    Высота елки

    Количество

    ярусов (цветов)

    4 7 (6)
    5 8 (6)
    6 9 (6)
    7 11 (6)
    8 12 (6)
    9 13 (6)
    10 18 (6)
    11 20 (6)
    12 22 (6)
    13 23 (6)
    14 25 (6)
    15 28 (6)
    16 30 (6)
    17 31 (6)
    18 33 (6)
    19 35 (6)
    20 38 (6)
    21 40 (6)
    22 42 (6)
    23 44 (6)
    24 46 (6)
    25 48 (6)
    26 50 (6)
    27 51 (6)
    28 53 (6)
    29 55 (6)
    30 57 (6)

     

     

    Характеристики
    Вид хвои
    Ель
    Материал
    Классические (пленка ПВХ)
    Тип конструкции
    Каркасная
    Размещение на елке относительно оси
    Горизонтальное
    Количество цветов
    6 шт (красный, синий, зеленый, белый, желтый, фиолетовый)
    Для высоты ёлки 4 м:
    кол-во ярусов=7шт.
    Для высоты ёлки 5 м:
    кол-во ярусов=8шт.
    Для высоты ёлки 6 м:
    кол-во ярусов=9шт.
    Для высоты ёлки 7 м:
    кол-во ярусов=11шт.
    Для высоты ёлки 8 м:
    кол-во ярусов=12шт.
    Для высоты ёлки 9 м:
    кол-во ярусов=13шт.
    Для высоты ёлки 10 м:
    кол-во ярусов=18шт.
    Для высоты ёлки 11 м:
    кол-во ярусов=20шт.
    Для высоты ёлки 12 м:
    кол-во ярусов=22шт.
    Для высоты ёлки 13 м:
    кол-во ярусов=23шт.
    Для высоты ёлки 14 м:
    кол-во ярусов=25шт.
    Для высоты ёлки 15 м:
    кол-во ярусов=28шт.
    Для высоты ёлки 16 м:
    кол-во ярусов=30шт.
    Для высоты ёлки 17 м:
    кол-во ярусов=31шт.
    Для высоты ёлки 18 м:
    кол-во ярусов=33шт.
    Для высоты ёлки 19 м:
    кол-во ярусов=35шт.
    Для высоты ёлки 20 м:
    кол-во ярусов=38шт.
    Для высоты ёлки 21 м:
    кол-во ярусов=40шт.
    Для высоты ёлки 22 м:
    кол-во ярусов=42шт.
    Для высоты ёлки 23 м:
    кол-во ярусов=44шт.
    Для высоты ёлки 24 м:
    кол-во ярусов=46шт.
    Для высоты ёлки 25 м:
    кол-во ярусов=48шт.
    Для высоты ёлки 26 м:
    кол-во ярусов=50шт.
    Для высоты ёлки 27 м:
    кол-во ярусов=51шт.
    Для высоты ёлки 28 м:
    кол-во ярусов=53шт.
    Для высоты ёлки 29 м:
    кол-во ярусов=55шт.
    Для высоты ёлки 30 м:
    кол-во ярусов=57шт.
    Отзывы:
    Отзывов еще никто не оставлял
    Предзаказ
    Предзаказ успешно отправлен!
    Имя *
    Телефон *
    Добавить в корзину
    Название товара
    100 руб
    1 шт.
    Перейти в корзину
    Обратный звонок
    Запрос успешно отправлен!
    Имя *
    Телефон *
    Заявка

    Настоящим подтверждаю, что я ознакомлен и согласен с условиями политики конфиденциальности и обработки данных.

    Заказать в один клик

    Настоящим подтверждаю, что я ознакомлен и согласен с условиями политики конфиденциальности и обработки данных.